Using the BeNano 90 Zeta to Measure the Zeta Potential of Bovine Serum Albumin
2021-03-01Application Note
The BeNano 90 Zeta provides accurate and rapid characterization of particle size and zeta potential of Bovine Serum Albumin (BSA) in an aqueous solution as will be detailed in this application note. The results show the BeNano 90 Zeta’s capability in low molecular weight proteins particle size and zeta potential measurement, even though the scattering intensity is weak.
| Product | BeNano Series |
| Industry | Pharmaceuticals |
| Sample | Proteins |
| Measurement Type | Particle Size, Zeta Potential |
| Measurement Technology |
Jump to a section:
Introduction
Amino acids are the building blocks for proteins. There are 20 different amino acids commonly found in proteins and often 300 or more amino acids per protein molecule. Therefore, proteins are long polymer chains of amino acids held together by peptide bonds. These polymer chains are then folded into certain three-dimensional shapes, usually as tertiary or quaternary structures. The protein is usually charged due to amino and carboxyl groups on the surface when dispersed in aqueous environment. The charges may induce the intermolecular forces and ultimately, influence the stability of the suspension.
Higher zeta potential means stronger repulsive interaction between protein particles, which could prevent protein molecules from aggregating and thus maintain the dispersed state of the protein solution. Factors influencing the zeta potential of a protein solution include the protein’s composition, pH values of the environment, ionic strength of the solution, and smallmolecule additives such as surfactants. The zeta potential of a protein suspension is measured by electrophoretic light scattering (ELS) method. One of the challenges when implementing ELS method for zeta potential measurement of a low molecular weight protein is its weak scattering intensity and therefore low signal-to-noise ratio.
The BeNano 90 Zeta (Bettersize Instruments Ltd.) provides accurate and rapid characterization of particle size and zeta potential of Bovine Serum Albumin (BSA) in an aqueous solution as will be detailed in this application note. The results show the BeNano 90 Zeta’s capability in low molecular weight proteins particle size and zeta potential measurement, even though the scattering intensity is weak.
Theory and Instrumentation
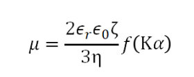
The technology utilized to measure the zeta potential is called electrophoretic light scattering (ELS). In an ELS experiment, a laser beam irradiates the sample, where the scattered lighted is detected at a forward angle of 12°. The diluted sample solution or suspension is subjected to an electric field applied to both ends of the sample cell, resulting in the electrophoretic movement of the charged particles in the sample. As a consequence, the scattered light intensity experiences a frequency shift compared to the incident light due to the Doppler effect. The scattered light signals with a frequency shift are converted to phase shift due to PALS analysis. By the phase plot, the velocity of electrophoretic movement per unit electric field, which is denoted as the electrophoretic mobility µ, is obtained. Through Henry’s equation, one can relate the electrophoretic mobility µ and its zeta potential ζ as follow:


where ε0 is the solvent dielectric constant in vacuum, εr is the relative dielectric constant, η is the solvent viscosity, f(Kα)is the Henry function, Κ is the reciprocal Debye length, α is the particle radius, and Κα refers to the ratio between the thickness of the double layer and the particle radius.
The BeNano 90 Zeta from Bettersize Instruments is used for the size and zeta potential measurement in this application note. A laser beam with a wavelength of 633nm and a power of 10mW illuminates the sample. Avalanche photodiode detectors (APD) are set up to collect scattered light signals at 12° for zeta potential measurement and at 90°for size measurement,
respectively. With the phase analysis light scattering (PALS) technique, the BeNano 90 Zeta is efficient at detecting the zeta potential information of samples with low electrophoretic mobility.
Experiment
A 10mg/mL BSA stock solution was prepared by dispersing the BSA in a 5mM NaCl solution and was well mixed with a magnetic stirrer for 30 minutes. The stock solution was then filtered with a 0.22µm polyethersulfone filters to remove any dust or aggregates. The solution temperature was controlled with the built-in temperature control unit in the BeNano 90 Zeta at 25°C ± 0.1°C. Part of the stock solution was transferred into a polystyrene (PS) sample cell for particle size measurement through dynamic light scattering (DLS) technique. The rest of the solution was transferred into a folded capillary cell for zeta potential measurement by ELS. The number of sub runs was set to be 10 for both measurements. Each sample was measured three times to check the repeatability of the results.
Results and Discussion
The hydrodynamic radius and particle size distribution of the BSA solution were obtained through the DLS technique. The z-average diameter of the BSA solution was measured to be 7.54 ± 0.11 nm, which is very close to the nominal size of BSA (7.1 nm) according to the literature. The smooth correlation function in Figure 2 indicated that the BSA stock solution was well dispersed and free of large aggregates.
The zeta potential measurement of the BSA sample was performed by the ELS technique in the Zeta potential analyzer BeNano 90 Zeta. The phase plot of a zeta potential measurement by ELS of the BSA sample is illustrated in Figure 3. The slopes in the phase plot refer to the frequency shift of the scattered light during the electrophoresis due to Doppler effect. As seen from Figure 3, the phase plot illustrates clear slopes indicating the great signal-to-noise ratio.


|
Trial
|
Zeta Potential [mV]
|
| 1 | 11.19 |
| 2 | 10.30 |
| 3 | 10.43 |
|
Average
|
10.65 |
|
Standard Deviation
|
0.48
|
The zeta potential measurements from all three trials, the average value and the standard deviation are listed in Table 1 above. The zeta potential value of BSA sample in an aqueous solution was positive, indicating that the BSA particles were positively charged in the current environment. The standard deviation of measurements between three trials was relatively small, indicating that the repeatability was good.
Conclusions
BSA, the low molecular weight protein with very weak scattering, has been characterized by the particle size and zeta potential analysis with the BeNano 90 Zeta. The precise and reliable measurements have been effectively performed thanks to the excellent sensitivity of the instrument’s optical system, and the stability of signal analysis through PALS.
About the Authors
| Shelly Zhang, Zhibin Guo, Hui Ning Application Engineers @ Bettersize Instruments |
|
Advanced Nanoparticle Size & Zeta Potential Analysis
|
|
LOGIN TO ACCESS EXCLUSIVE CONTENT
More Resources Including
- Application Notes & Collections
- Webinars & Workshops
- Presentations & Videos
- Monthly Newsletters
- Exclusive Events...

Recommended articles
Rate this article
